中 文
English 

A fluid filtration expert beside you

Home About us Product User case Knowledge Contact us
Product display-福斯菲尔PHOSPHOR膜卫士
Your current position:Home >Product display > Filter > PF High Flow Filter cartridges
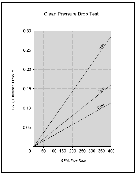
PF series of high flow filter cartridges are fabricated from hydrophilic polymer material. The core filter is made up of extruded polypropylene fiber which is cohered with melting, with large amount of conical fixed bores of high contaminant capacity. The whole filtering layer is fabricated with pleat so that the effective filtering area is greatly increased.Such sophisticated design allow fluid to go through filter at high velocity and flow rate, providing the filter cartridge with high contaminant capacity, efficiency, low pressure drop and long service life.The filter cartridge consists of upper lower and  lower upper covers, filtering elements, internal support, external protection net, O-rings, which are fabricated from materials designated by FDA. The end covers are connected by melting, which are more secure in comparison with the conventional gluing process without introducing other chemicals.Phosphor is equipped with powerful internal support to enable the high bearing capacity and long service life of cartridge and can effectively reduce the housing cost; the unique dual seal design can better guarantee the system safety.